Introduction

Desirable Real Estate

Many aliens could prefer to live on planets that human beings would find to be miserable hell-holes.

Many point to the ecosystems at the Galapagos black smokers as proof that life is possible in underground oceans, say, hidden under the kilometers of glaciers on the surface of Europa ("Hydro-sub-glacean life"). The tidal forces created by the gravity of Jupiter can power a lot of black smokers.

The upper kilometers of the liquid oceans freeze, forming a glacier layer which prevents the oceans from boiling away into the vacuum of space. Because such ice worlds tend to have little or no atmosphere.

Most humans would agree that a planet where you have to live underwater under kilometers of ice in mindless darkness would qualify as a "miserable hell-hole".


Hydrosubglacean Life

Interesting implication: if ice-world ocean life is possible , this means is that such life will be far more common in the galaxy than terrestrial life. After all, there are several such moons in our solar system, and only one Terra (Europa, Enceladus, Ganymede and Titan). If there are four such moons, then throughout the universe iceball life will outnumber liquid water life four to one, on average.

From a human standpoint, it is a good thing that it is about tens times as hard to make a conquering starfleet by using aquatic technology compared to using conventional tech. Otherwise ice-world life would rule the entire universe by sheer numbers alone.


There Will Be War

However, if the aliens like to live on the same kinds of planets that Terrans do, the way to bet is that eventually there will be war. Eventually Terrans or the aliens (or both) will become anxious about the rapidly decreasing amount of unoccupied real estate, and then the shooting starts. Some say the basic cause of war boils down to "Two Monkeys And One Banana". Well, the biggest banana of them all is Living Space.

A wild card to prevent war is if one or both species like living in mobile asteroid habitats (Macrolife). Since there are a virtually unlimited supply of unique fixer-upper asteroids suitable to to be converted into living space, this might delay the advent of a shooting war.

Alternatively, if a species is a primitive civilization with the misfortune to live in an Elder God Galaxy, it has to keep a real low profile in order to survive. Starting a shooting war will attract Elder God attention, and the species will rapidly be eradicated by the Elder God equivalent of pest exterminators.


Homeworld Galactic Separation

As a side note, one can use the time between apes and angels for the "average lifespan of a technological civilization". Insert this into the Drake equation along with a few other guesses and you can calculate the average distance between alien civilization homeworlds. (and of course the distance between Terra and the closest aliens).

I say "homeworlds" because they might have colonized nearby stars to form an empire. In this case the homeworld will probably be in the center of the empire's sphere of influence. Therefore the closest aliens will be the average distance between minus the radius of their empire. Go to The Tough Guide to the Known Galaxy and read the entry "HOMEWORLD".

If you already have an idea of how close you want civilizations to be spaced, you work the Drake equation backwards. Keep altering the values until you get the spacing you want. But now you have to live with the consequences of those various values, and their implications.

It will be even worse if the average lifespan of a technological civilization is shorter than expected, due to premature death by nuclear holocaust or unexpected apotheosis by a Vingian Singularity.

HOMEWORLD. This may have any of three related but distinct meanings.

1) Someone's native PLANET; where they were born, or at least their permanent residence address.

2) The capital Planet of an EMPIRE, especially if the Empire builders started out there.

3) The Planet where an intelligent race originated. In this sense, the Homeworld of all EARTH HUMANS is of course Earth, even if they have lived for generations on a COLONY.


ICEWORLD OUTREACH

     And so MRF-7 slipped silently into orbit around Gliese 581 VI rather than f, a frozen ice giant the Human Endeavor Expedition had named Niffelheim. (the Qesh alien force has captured the human settlement on Gliese 581 f "Bloodworld", and the protagonist along with the Marine expeditionary force are there to do recon. But first they have to do a side trip to Gliese 581 VI)

     At about 108 million kilometers from Sol, the planet Venus has been trapped in a runaway greenhouse effect that has resulted in a surface temperature hot enough to melt lead, and with a surface pressure of around 91 atmospheres. Gliese 581 VI is less than six million kilometers farther out from its primary than is Venus—for all intents and purposes the same distance—but its climate is startlingly different. Its primary has a luminosity of just 0.013 of Sol, that’s a bit over one percent. As a result, Niffelheim is an ice giant, a smaller version of Neptune with about eight times the mass of Earth, with a solid rock core smothered beneath 1,000 kilometers of ice and ice slush, and a dense and frigid soup of methane and ammonia for an atmosphere above that. Its primary is a sullen, ruby disk slightly smaller than the sun seen from Earth.

     Niffelheim has rings, though the light level is so low it’s tough to see them, and it possesses a small coterie of moons; Niffelheim-e is as large as the planet Mercury back home, ice sheathed and big enough to hold an atmosphere, mostly of nitrogen and methane. The surface temperature stands at around minus 200 degrees Celsius.

     Of particular interest is the fact that tidal forces between Niffelheim and Niffelheim-e keep the moon’s deep interior hot. The heat works its way up out of the core, and warms the surface a bit more than would be the case otherwise. According to the initial surveys, there’s an ocean down there, liquid water maybe 100 kilometers deep, more water than is contained in all of the oceans of Earth, locked away beneath an ice cap ten kilometers thick.

     It turns out that Niffelheim-e, which we of course began calling “Hymie” before we even dropped into orbit, is a large version of Europa, one of the Jovian satellites back in the Sol system.

     I wondered if there were local equivalents to the Europan Medusae undulating beneath the ice.


     The stop at Hymie, I gathered, was so that our intelligence people could scope out the situation at Bloodworld from the covert safety of Niffelheim-e. At the moment, Planet IV was on the far side of the sun, but it would swing around to our side in another few days, allowing us to see what was going on around it from our base camp at Planet VI. In the meantime, the MRF’s science department wanted to check out Hymie’s iced-over ocean.

     Our operational orders gave a couple of reasons for this. First and foremost, it was possible that the colonists on Bloodworld had established a secondary colony here. There were no records of such a thing, but it had been more than sixty years since Salvation’s founding. It could have happened. If there was a human colony here, chances were good that it had been built beneath the ice, within the relative warmth and security of the world-ocean. When the Qesh arrived, such a colony could be expected to lie low and stay out of sight; by entering the ocean ourselves, we would be able to establish sonar contact with them in short order, and the MRF would be able to get some up-to-date intel from the locals.

     But the second reason was the possibility of a new First Contact.

     Since the final decades of the twentieth century, we’ve known that planets are shockingly common throughout the universe. Most stars have them; hell, the very first extrasolar planets we detected were orbiting neutron of a star 980 light years away from Earth. Apparently, they accreted out of the left-over debris from the supernovae that created the neutron star in the first place. If planets could form there, they could form anywhere.

     And since the first manned expeditions to Mars in the mid-twenty-first cent, we’ve known that life is common as well. Right there in our own Solar System, we’ve found six different exotic biochemistries besides what’s on Earth. There are the pseudobacterial mats beneath the Martian permafrost, which we first detected by the isolated puffs of methane they release into the thin air every once in a while. There are the aerial venerarchaea of the upper Venusian atmosphere, happily metabolizing sulfuric acid, water vapor, and sunlight. There are the Jovian aeoleaprotistae drifting on the high-altitude winds of Jupiter, with their enigmatic hints of more complex life farther down within the unreachable depths of the Jovian Abyss. There are the prometheaformes, digesting frigid methane lakes on Titan, and there are the vast and complex ecosystems discovered beneath the iced-over surfaces of both Europa and Enceladus.

     And that’s just what we’ve found so far; there are hints of other exotic ecosystems a hundred kilometers down within the liquid-water mantle of Pluto, and some inexplicable exotic nitrogen chemistry going on within the coldest real estate in the Solar System—Neptune’s moon Triton. With seven—and possibly nine or more—examples of independent organic evolution just in our own system, it’s clear that life will take hold in any environment where it has half a chance.

     We discovered the third part of the equation in 2120, with the Olympus Expedition to Jupiter. Besides finding alien biomes in the Jovian atmosphere and beneath the ice of Europa, the Europan survey crew made first contact with what was probably another intelligent species.

     Funny, isn’t it? We still don’t know for certain that the Medusae are sapient, at least in the way that humans usually define the term. We know they’re thermovores, attracted by sources of heat. We know they appear to have a symbiotic relationship with something the survey team’s survivors called ectoplasmic kudzu, which might be a different life form altogether, might be a kind of biological technology, or might even be something the Medusae exude from their own filmy bodies. We just don’t know, even now, 125 years later.

     Of course, ten years after the Olympus returned to Earth, the first AI translations of the Encylcopedia Galactica were published, and we discovered just how common intelligent life actually is across the Galaxy. The interesting thing was, however, that by far, the majority of the intelligent life out there does not live on planets like Earth. A lot of it is hydrosubglacean, meaning it lives in a layer of liquid water beneath the ice of frigid worlds and moons that are internally warmed either by tidal stresses or by the decay of radioactive elements in their cores.

     Intelligent beings like Homo sapiens, evolved to live on the dry, open surface of their world, may in fact be relatively rare by comparison.

     We don’t know what the actual ratio might be; after all, very, very few subglaceans ever develop astronomy, radio telescopes, or space travel. The Encyclopedia Galactica lists a number of alien civilizations that live beneath the ice ceilings of their worlds—a few hundred, perhaps—but subglacean intelligence may outnumber other sapient life forms by many thousands to one. The Europan Medusae aren’t listed on the EG, so far as we know, because they’ve never made their existence known to the universe at large.

     Because of our own ignorance in the matter, the Commonwealth has made contact with subglacean intelligences a high priority. The base at Conamara Chaos, clinging upside down to the Europan ice cap above the sunless world-ocean abyss, has been studying the Medusae and their bewildering zoo of organic symbionts for a century, now. Conamara base had been the next destination for my FMF (Fleet Marine Force) class, before the class was cancelled by events at Bloodstar. Our people and AIs there were still just trying to come up with a workable common language, and FMF students, among others, continued to work at trying to catalogue and understand the local biochemistry.

     And now we were going to have a peek beneath the ice on Hymie, to see if there were similar exotic life forms down there. I think the Commonwealth government is lonely and looking for friends. We don’t have many of those yet, out here among the uncaring stars.

From BLOODSTAR by William Keith (under Ian Douglas pseudonym) (2012)
Boundary Conditions For Emergent Complexity Longevity

We usually think about habitability in terms of liquid water on the surface, which is the common definition of the term ‘habitable zone.’ But even in our own system, we have great interest in places where this is not the case (e.g. Europa). In today’s essay, Nick Nielsen begins with the development of complex life in terms not just of a habitable zone, but what some scientists are calling an ‘abiogenesis zone.’ The implications trigger SETI speculation, particularly in systems whose host star is nearing the end of its life on the main sequence. Are there analogies between habitable zones and the conditions that can lead not just to life but civilization? These boundary conditions offers a new direction for SETI theorists to explore.

by J. N. Nielsen

Recently a paper of some interest was posted to arXiv, “There’s No Place Like Home (in Our Own Solar System): Searching for ET Near White Dwarfs,” by John Gertz. (Gertz has several other interesting papers on arXiv that are working looking at.) Here is the abstract of the paper in its entirety:

The preponderance of white dwarfs in the Milky Way were formed from the remnants of stars of the same or somewhat higher mass as the Sun, i.e., from G-stars. We know that life can exist around G-stars. Any technologically advanced civilization residing within the habitable zone of a G-star will face grave peril when its star transitions from the main sequence and successively enters sub-giant, red giant, planetary nebula, and white dwarf stages. In fact, if the civilization takes no action it will face certain extinction. The two alternatives to passive extinction are (a) migrate away from the parent star in order to colonize another star system, or (b) find a viable solution within one’s own solar system. It is argued in this paper that migration of an entire biological population or even a small part of a population is virtually impossible, but in any event, far more difficult than remaining in one’s home solar system where the problem of continued survival can best be solved. This leads to the conclusion that sub-giants, red giants, planetary nebula, and white dwarfs are the best possible candidate targets for SETI observations. Search strategies are suggested.

There are a number of interesting ideas in the above. The first thing that strikes me about this is that it exemplifies what I call the SETI paradigm: interstellar travel is either impossible or so difficult that SETI is the only possibility for contact with other civilizations. [1]

The SETI paradigm is worth noting in this context because Gertz is considering these matters on a multi-billion year time scale, i.e., a cosmological scale of time, and not the scale of time at which we usually measure civilization. Taking our own case of civilization as normative, if terrestrial civilization endures through the red giant and white dwarf stages of our star, that means our civilization will endure for billions of years, and in those billions of years (in the Gertz scenario) we will not develop any of the technology that would allow us to make the journey to other stars, including those other stars that will come within less than a light year of our own star with some frequency over cosmological scales of time. [2] We will, however, according to this scenario, develop technologies that would allow us to migrate to other parts of our own planetary system. I find that this contrast in technological achievement makes unrealistic demands upon credulity, but this is merely tangential to what I want to talk about in relation to this paper.

What most interests me about the scenario contemplated in this paper is its applicability to forms of emergent complexity other than human civilization. What I mean by “other forms of emergent complexity” is what I now call emergent complexity pluralism, which I present in my upcoming paper “Peer Complexity during the Stelliferous Era.” The paper isn’t out yet, but you can see a video of my presentation in Milan in July 2019: Peer Complexity during the Stelliferous Era, Life in the Universe: Big History, SETI and the Future of Humankind, IBHA & INAF-IASF MI Symposium. (Write to me if you’d like a copy of the paper.) In brief, we aren’t the only kind of complexity that may arise in the universe.

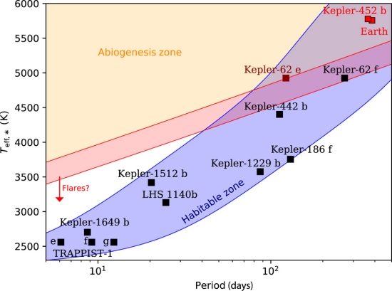
The simplest case of an alternative emergent complexity, and the case most familiar to us, is to think of Gertz’s scenario in terms of life without the further emergent complexities that have come to supervene upon human activity, chiefly civilization. In the case of a planet like Earth, possessed of a biosphere that has endured for billions of years and which has produced complex forms of life, one could expect to see exactly what Gertz attributes to technological civilizations, though biology alone could be sufficient to account for these developments. However — and this is a big however — the conditions must be “just right” for this to happen. In other words, something like the Goldilocks conditions of the “Goldilocks Zone” (the circumstellar habitable zone, or CHZ) must obtain, though in a more generalized form, so that each form of emergent complexity may have its own distinctive boundary conditions.

A further distinction should be introduced at this point. The boundary conditions of the emergence of complexity (whether of life, or civilization, or something else yet) may be distinct from the boundary conditions for the further development of complexity, and especially for developments that involve further complexity emerging from a given complexity, in the way that consciousness and intelligence emerged from life on Earth, and civilization emerged in turn from consciousness and intelligence. This distinction has been captured in origins of life research by the distinction between the habitability zone (the CHZ, in its conventional use) and the abiogenesis zone. The former is the region around a star where biology is possible, whereas the latter is the region in which biology can arise.

In a 2018 paper, The origin of RNA precursors on exoplanets, by Paul B. Rimmer, Jianfeng Xu, Samantha J. Thompson, Ed Gillen, John D. Sutherland, and Didier Queloz, this distinction between conditions for the genesis of life and conditions for the development and furtherance of life is made, and the two sets of boundary conditions are shown to overlap, but not to precisely coincide:

“The abiogenesis zone we define need not overlap the liquid water habitable zone. The liquid water habitable zone identifies those planets that are a sufficient distance from their host star for liquid water to exist stably over a large fraction of their surfaces. In the scenario we consider, the building blocks of life could have been accumulated very rapidly compared to geological time scales, in a local transient environment, for which liquid water could be present outside the liquid water habitable zone. The local and transient occurrences of these building blocks would almost certainly be undetectable. The liquid water habitable zone helpfully identifies where life could be sufficiently abundant to be detectable.” [3]

The idea implicit in defining an abiogenesis zone distinct from a habitable zone can be extrapolated to other forms of complexity: boundary conditions of emergence may be distinct from boundary conditions for development and longevity; the conditions for the emergence of civilization may be distinct from the conditions for the longevity of civilization. But let us return to the scenario of life maintaining itself within its planetary system without the assistance of intelligence or technology.

Whereas the CHZ is usually defined in terms of a region of space around a star clement for life as we know it, the boundary conditions for alternative emergent complexities will be optimal relative to the emergent complexity in question. That is to say, the wider we construe “habitability” (i.e., the more diverse kinds of emergent complexity that might inhabit a planet or planetary system) the more CHZs there will be, as each form of emergent complexity will have boundary conditions distinctive to itself.

In a planetary system with a large number of rocky worlds spaced relatively close together, these worlds could serve as “stepping stones” for enhanced lithopanspermia. [4] At each stage in the life of the parent star of such a planetary system with life, the life would be distributed among the available planets, and it would flourish into a planetary-scale biosphere on the world with the most clement conditions. When the star began to swell into a red giant, the inner planets would become inhospitable to life, but life could then migrate outward to the cooler planets. And then, when the star cooled down again, life could once again planet-hop nearer to the now-cooler star.

We do not yet know if the boundary conditions for emergent complexity longevity obtain within our own solar system. Is Mars close enough that life, going extinct on Earth, could make the transition to this cooler world, and possibly also further out to the moons of the gas giants? In The Jovian Oceans [5] I suggested that, as the sun grows into a red giant, the outer regions of the solar system will become warmer and the subsurface oceans of some of the moons of Jupiter and Saturn may thaw out and become watermoons (in contradistinction to waterworlds). These regions of our solar system may be clement to life when Earth is no longer habitable, but if life cannot make the journey to these worlds, they may as well not exist at all. We still have a billion years for sufficiently hardy microorganisms to evolve, and for collisions with large bodies to blast microorganisms off the surface of Earth and into trajectories that would eventually result in their impacting on Mars. The chances for this strike me as marginal, but over a billion years we cannot exclude marginal scenarios.

As I have noted in Life: from Sea to Land to Space, the expansion of life from Earth into space (like the expansion of life from the oceans onto land) will open up a vastly greater number of niches to life than could exist on any one planet, so that the opportunities for adaptive radiation are increased by orders of magnitude. But this expansive scenario for life in space is contingent upon the proper boundary conditions obtaining; life must expand into an optimal environment in order for it to experience optimal expansion and adaptive radiation. [6] And as the boundary conditions for the emergence of emergent complexity may be distinct from the boundary conditions for the longevity of emergent complexity, emergent complexity (like a biosphere) may flourish and die on one planet without the opportunity to exploit the potential of other niches. [7]

There are also distinctive boundary conditions for the longevity of civilization. If a civilization is to employ technological means to extend its longevity, whether through journeying to other stars, or, according to Gertz’s scenario, shifting itself within its home planetary system (“sheltering in place”), then the conditions must first be right for a life to arise, and then for civilization to supervene upon life, and finally for civilization to pass beyond its planetary origins by technological means. These boundary conditions might include, for example, an adequate supply of fossil fuels for the civilization to make its original transition to industrialization, and, later, sufficient titanium resources to build spacecraft, and sufficient fissionables to supply nuclear power or to operate nuclear rockets.

It takes a “just right” planetary system for a technological civilization to successfully make a spacefaring breakout from its homeworld — just as being a space-capable civilization is a necessary condition for spacefaring breakout, coming to an initial threshold of technological maturity in the context of favorable boundary conditions is also a necessary condition for being a spacefaring civilization. It also takes a “just right” stellar neighborhood for a spacefaring civilization to make an interstellar breakout from its home system. The boundary conditions for interstellar civilization are subject to change over cosmological scales of time, because stars change their relationships to each other within the galaxy, but there will still be regions in the galaxy with more favorable conditions and regions in the galaxy with less favorable conditions.

As I have noted in other contexts, technology is a means to an end, and usually not an end in itself, so that there is a certain fungibility in the use of technologies: if the resources are unavailable for a particular technology, they may be available for some other technology that can serve in a similar capacity. A marginal technology in favorable boundary conditions, or a superior technology in unfavorable boundary conditions, might do the trick either way. However, there are limits to technological fungibility. The boundary conditions for the longevity of technological civilizations set these limits.

Notes

[1] I have written about the SETI paradigm in my Centauri Dreams post Stagnant Supercivilizations and Interstellar Travel, inter alia.

[2] I discussed interstellar travel by waiting for other planetary systems to pass near our own in the aforementioned Stagnant Supercivilizations and Interstellar Travel.

[3] “The origin of RNA precursors on exoplanets,” by Paul B. Rimmer, Jianfeng Xu, Samantha J. Thompson, Ed Gillen, John D. Sutherland, and Didier Queloz, Science Advances, 01 Aug 2018: Vol. 4, no. 8, DOI: 10.1126/sciadv.aar3302

[4] Cf. two papers on this, “Enhanced interplanetary panspermia in the TRAPPIST-1 system” by Manasvi Lingam and Abraham Loeb, and “Fast litho-panspermia in the habitable zone of the TRAPPIST-1 system”, by Sebastiaan Krijt, Timothy J. Bowling, Richard J. Lyons, and Fred J. Ciesla, and my post Emergent Complexity in Multi-Planetary Ecosystems.

[5] This post also noted two papers, then recent, on habitability zones around post-main sequence stars, “Habitable Zones Of Post-Main Sequence Stars” by Ramses M. Ramirez, et al., and “Habitability of Super-Earth Planets around Other Suns: Models including Red Giant Branch Evolution” by W. von Bloh, M. Cuntz, K.-P. Schroeder, C. Bounama, and S. Franck, both of which are relevant to Gertz’s argument.

[6] René Heller has introduced the concept of superhabitable worlds, i.e., worlds more clement for life than Earth, thus optimal for life (cf., e.g., “Superhabitable Worlds”, by René Heller and John Armstrong), which suggests a similar implicit distinction between merely habitable planetary systems and superhabitable planetary systems, merely habitable galaxies and superhabitable galaxies, and so on.

[7] Freeman Dyson argued for the value of life that can adapt to conditions distinct from the planetary endemism that characterizes life as we know it: “…planets compare unfavourably with other places as habitats. Planets have many disadvantages. For any form of life adapted to living in an atmosphere, they are very difficult to escape from. For any form of life adapted to living in vacuum they are death-traps, like open wells full of water for a human child. And they have a more fundamental defect: their mass is almost entirely inaccessible to creatures living on their surface.” (Dyson, F. J. 2003. “Looking for life in unlikely places: reasons why planets may not be the best places to look for life.” International Journal of Astrobiology, 2(2), 103–110) Dyson’s reasons for favoring life independent of planets does not alter the fact that a lot of interesting chemistry occurs on planets that does not occur elsewhere because other environments do have not large scale geomorphological processes; however, Dyson’s observations do point to the selective value of life that can adapt to habitats without planets.

Gas Giant Dweller

Gas giant planets are very unattractive places for humans to colonize. Blasted things do not have a real surface, the atmosphere just gradually thickens into a slush, which gradually thickens into metallic hydrogen or something.

Somewhat arbitrarily the "surface" of a gas giant (zero point for altitudes) is set when the pressure reaches 1 bar (average sea-level pressure on Terra). The vague "top" of Jupiter's atmosphere is roughly 5,000 kilometers above the surface. The "cloud-top" level of Jupiter's atmosphere is where the pressure is about 0.1 bar (50 km above surface). Confusingly astronomers decided the base of the atmosphere (base of the troposphere) is not at the "surface", it is below that where the pressure reaches 10 bar (90 km below surface). The atmosphere starts turning into a slushy gas at about 13 bar (95 km below surface). And it turns into a slushy liquid at about 5,000 bar (at 1,000 km below surface, and 1,700° C).

But long before you get to the slushly liquid state the pressure will grow high enough to make your spacecraft implode and the temperature will melt the ship. Presumably any native life form on such a planet will either perpetually float in the upper atmosphere, or be very crush-proof heat-resistant slush swimmers.

Jupiter's Atmosphere
Altitude
from datum
(km)
Pressure
(bar)
Temp
(K)
Temp
(°C)
Notes
+5,000Top: exosphere
Atmosphere fades into
interplanetary space
+1,0001 nbarBottom: exosphere
Top: thermosphere
+3201 μbarBottom: thermosphere
Top: stratosphere
+500.1112-161°Bottom: stratosphere
Top: troposphere (tropopause)
"cloud top" (start of haze layer)
+46?Top: Sinker zone
+230.4
+210.45128-145°
0.6145Top: Ammonia cirrus cloud level
0.9150Bottom: Ammonia cirrus cloud level
01.0165-108°Datum (ave. Terran sea-level)
Top: Ammonia-sulfur cloud level
3He scoop mining level
-181.6
2.0200-73°Bottom: Ammonia-sulfur cloud level
3.0Top: Water clouds level
-565.5273
7.0Bottom: Water cloud level
-70?7.3?30027°Optimum photosynthesis
Center of sinker zone
Floater feeding zone?
-9010.034067°Bottom: Troposphere
-95?12.9Top: Hydrogen becomes slushy gas
-10016.0400127°
-14622.0426153°
-185?250?500?230°?Bottom: Sinker zone
Top: Organisms incinerated
(pyrolytic depth)
280900627°Aluminum melts
-1,0005,0002,0001,727°Titanium melts
Top: Hydrogen becomes slushy fluid
Pressure of Mariana Trench
2,000,00010,0009,700°Top: Metallic hydrogen

Values with question marks were calculated with linear interpolation.


Carl Sagan and E. E. Salpeter postulated floating organisms could exist in the temperate regions of Jupiter's atmosphere in a 1975 paper. An entire ecosystem, with aerial plankton grazed on by sky whales, who were preyed on in turn by flying sharks. This was later featured in Sagan's documentary series Cosmos.

In Sagan and Salpeter's paper, "sinkers" were aerial plants that were born in the upper troposphere and gradually fell to their death in the inferno of Jupiter's lower atmosphere. Along the way they grew by photosynthesis using blue light and abundant atmospheric methane, water, and ammonia. They also reproduced by emitting tiny spores, stimulated by moving from region of depleted resources into a region of abundant nutrients. The spores were carried up to the upper troposphere by atmospheric turbulence, where the cycle of life starts anew. The paper calculates that a sinker has a size of about 30μM (about the size of a small terrestrial protozoa) and will take about two months to fall from the birth altitude to the incineration altitude. Later Sagan upped the size estimate to up to the size of a toy balloon.

Alternatively sinkers can grow by becoming a colony creature. The component creatures reproduce and the colony grows. When it sinks too close to incineration depth, the colony disperses into individuals. These are small enough to rise to safe altitudes by atmospheric turbulence. Paper estimates a colony can contain about 10,000 if colony and individuals do not exceed max size.

"Floaters" are herbivores. They feed on the sinkers, and use the extra metabolic energy to maintain float bladders. This allows them to avoid falling to a fiery death. One way to float is to pump their bladder such that it contains close to pure hydrogen, instead of the hydrogen-helium mixture composing the Jovian atmosphere. The other is to use metabolic energy to heat the atmosphere inside the bladder (since hot hydrogen-helium is lighter than cool hydrogen-helium). Heating will require a larger bladder than pumping helium. The paper calculates that it is possible to have floaters with sizes measured in kilometers.

And where you find herbivores you generally also find carnivores preying upon them. The "hunters" kill and eat floaters, using the more concentrated food energy to allow stalking and chasing. Hunters are also after their prey's store of purified hydrogen inside their float bladders.

There is a second class of (thermoresistant) floaters called "scavengers", living just above the hot zone and eating the steady fall of incinerated sinkers, or the incinerated bodies of dead floaters and hunters.

Sir Arthur C. Clarke expanded upon this theme in "A Meeting With Medusa" and in 2010: Odyssey Two. These stories featured creatures that were sort of a cross between a titanic jellyfish and a zeppelin. A similar ecosystem is in Ben Bova's novel Jupiter. There are also "sky whales" appearing in Dr. Robert Forward's Saturn Rukh.


As a rule, intelligent species that inhabit terrestrial planets (such as our species) do not have much interaction with intelligent aliens who live on gas giants. In the general this is because we and they have little or no common frames of reference which makes communication difficult. In the specific it is because we and they do not covet each other's real estate so there is no reason to go to war. In Poul Anderson's galactic novels, the human galactic empire and several gasworlder empires interpenetrated each other and ignored each other.

There are exceptions, such as Kevin J. Anderson's Saga of Seven Suns series. In the first novel, the human empires are unaware of the existence of the Gasworlders ("Hydrogues"). This proves to be unfortunate. The humans figure it is acceptable to test a device which converts planets into blazing suns on a gas giant since everybody knows there is no intelligent life there. When a Hydrogue planet is converted into a blazing sun along with all the Hydrogue inhabitants, the remaining Hydrogues in the Hydrogue Empire become very very angry. The humans are flabbergasted when every gas gas giant in their entire empire suddenly erupts with Hydrogue battle fleets. Hilarity ensues as the diamond-armored Hydrogue dreadnoughts start kicking the living snot out of the human planets.

Another exception is described by Hal Clement here, where humans and jovians interact exactly like they were engaged in a war, but they are not. Humans are scoop-mining Jupiter's atmosphere, and the Jovians become furious at hypersonic scoopships obliterating their orchards, gardens, and flocks; not to mention Jovian citizens. So the Jovians start attacking the human scoopships. Humans will retaliate, and the net result will be very hard to distinguish from actual warfare.

Alternatively, the Jovians might see the scoopships as valuable concentration of metals, and start harvesting the scoopships. In that case the Jovians might limit the number of scoopships they grab, or the humans might get fed up and stop sending them.

Phil Masters, in his article for the game Traveller about his gas giant dwelling Jgd-Ll-Jagd aliens, had this to say: The chief point to note in such systems is that fuel-skimming a Jgd world is extremely unwise; shock waves from the pass will cause severe damage to the beings and their environment, and their response is certain to involve high-energy weapons fire. For this reason, Jgd systems are well-marked with navigational beacons. (Traveller tramp merchant ships routinely skim gas giants for free fuel)


But the unanswered question is how do intelligent gas giant aliens develop science and technology? There is no access to metals, there is no access to fire, heck, there is no access to solid ground to store your stuff. Science fiction authors usually postulate that the gas giant aliens were given (or sold) high technology by some star-faring race that evolved on a terrestrial planet, or the gas giant dwellers can created artifacts by using organic technology with built-in floatation bubbles.

GAS GIANT BODY 1

(ed note: Howard Falcon is the first man to explore the upper atmosphere of Jupiter, using the spacecraft Kon-Tiki supported by a huge fusion-powered hot-air balloon)

     And then his concern changed to wonder—and to fear. What was developing in his line of flight was not a storm at all. Something enormous—something scores of miles across—was rising through the clouds.
     The reassuring thought that it, too, might be a cloud—a thunderhead boiling up from the lower levels of the atmosphere—lasted only a few seconds. No; this was solid. It shouldered its way through the pink-and-salmon overcast like an iceberg rising from the deeps.
     An iceberg floating on hydrogen? That was impossible, of course; but perhaps it was not too remote an analogy. As soon as he focused the telescope upon the enigma, Falcon saw that it was a whitish, crystalline mass, threaded with streaks of red and brown. It must be, he decided, the same stuff as the “snowflakes” falling around him—a mountain range of wax. And it was not, he soon realized, as solid as he had thought; around the edges it was continually crumbling and reforming…
     “I know what it is,” he radioed Mission Control, which for the last few minutes had been asking anxious questions. “It’s a mass of bubbles—some kind of foam. Hydrocarbon froth. Get the chemists working on … Just a minute!”
     The things moving up and down those waxen slopes were still too far away for Falcon to make out many details, and they must have been very large to be visible at all at such a distance. Almost black, and shaped like arrowheads, they maneuvered by slow undulations of their entire bodies, so that they looked rather like giant manta rays, swimming above some tropical reef.
     Perhaps they were sky-borne cattle, browsing on the cloud pastures of Jupiter, for they seemed to be feeding along the dark, red-brown streaks that ran like dried-up river beds down the flanks of the floating ctiffs. Occasionally, one of them would dive headlong into the mountain of foam and disappear completely from sight.
     Kon-Tiki was moving only slowly with respect to the cloud layer below; it would be at least three hours before she was above those ephemeral hills. She was in a race with the Sun. Falcon hoped that darkness would not fall before he could get a good view of the mantas, as he had christened them, as well as the fragile landscape over which they flapped their way.
     It was a long three hours. During the whole time, he kept the external microphones on full gain, wondering if here was the source of that booming in the night. The mantas were certainly large enough to have produced it; when he could get an accurate measurement, he discovered that they were almost a hundred yards across the wings. That was three times the length of the largest whale—though he doubted if they could weigh more than a few tons.
     “No,” said Falcon, answering Mission Control’s repeated questions about the mantas, “they’re still showing no reaction to me. I don’t think they’re intelligent—they look like harmless vegetarians. And even if they try to chase me, I’m sure they can’t reach my altitude. “
     Yet he was a little disappointed when the mantas showed not the slightest interest in him as he sailed high above their feeding ground. Perhaps they had no way of detecting his presence. When he examined and photographed them through the telescope, he could see no signs of any sense organs. The creatures were simply huge black deltas, rippling over hills and valleys that, in reality, were little more substantial than the clouds of Earth. Though they looked solid, Falcon knew that anyone who stepped on those white mountains would go crashing through them as if they were made of tissue paper.

     It was not easy to see, being only a little darker than the whirling wall of mist that formed its background. Not until he had been staring for several minutes did Falcon realize that he had met it once before.
     The first time it had been crawling across the drifting mountains of foam, and he had mistaken it for a giant, many-trunked tree. Now at last he could appreciate its real size and complexity and could give it a better name to fix its image in his mind. It did not resemble a tree at all, but a jellyfish—a medusa, such as might be met trailing its tentacles as it drifted along the warm eddies of the Gulf Stream.
     This medusa was more than a mile across and its scores of dangling tentacles were hundreds of feet long. They swayed slowly back and forth in perfect unison, taking more than a minute for each complete undulation—almost as if the creature was clumsily rowing itself through the sky.
     The other echoes were more distant medusae. Falcon focused the telescope on half a dozen and could see no variations in shape or size. They all seemed to be of the same species, and he wondered just why they were drifting lazily around in this six-hundred-mile orbit. Perhaps they were feeding upon the aerial plankton sucked in by the whirlpool, as Kon-Tiki itself had been.
     “Do you realize, Howard,” said Dr. Brenner, when he had recovered from his initial astonishment, “that this thing is about a hundred thousand times as large as the biggest whale? And even if it’s only a gasbag, it must still weigh a million tons! I can’t even guess at its metabolism. It must generate megawatts of heat to maintain its buoyancy.”
     “But if it’s just a gasbag, why is it such a damn good radar reflector?”
     “I haven’t the faintest idea. Can you get any closer?”
     For the next two hours Kon-Tiki drifted uneventfully in the gyre of the great whirlpool, while Falcon experimented with filters and camera contrast, trying to get a clear view of the medusa. He began to wonder if its elusive coloration was some kind of camouflage; perhaps, like many animals of Earth, it was trying to lose itself against its background. That was a trick used by both hunters and hunted.
     In which category was the medusa? That was a question he could hardly expect to have answered in the short time that was left to him. Yet just before noon, without the slightest warning, the answer came…
     Like a squadron of antique jet fighters, five mantas came sweeping through the wall of mist that formed the funnel of the vortex. They were flying in a V formation directly toward the pallid gray cloud of the medusa; and there was no doubt, in Falcon’s mind, that they were on the attack. He had been quite wrong to assume that they were harmless vegetarians.
     Yet everything happened at such a leisurely pace that it was like watching a slow-motion film. The mantas undulated along at perhaps thirty miles an hour; it seemed ages before they reached the medusa, which continued to paddle imperturbably along at an even slower speed. Huge though they were, the mantas looked tiny beside the monster they were approaching. When they flapped down on its back, they appeared about as large as birds landing on a whale.
     Could the medusa defend itself, Falcon wondered. He did not see how the attacking mantas could be in danger as long as they avoided those huge clumsy tentacles. And perhaps their host was not even aware of them; they could be insignificant parasites, tolerated as are fleas upon a dog.
     But now it was obvious that the medusa was in distress. With agonizing slowness, it began to tip over like a capsizing ship. After ten minutes it had tilted forty-five degrees; it was also rapidly losing altitude. It was impossible not to feel a sense of pity for the beleaguered monster, and to Falcon the sight brought bitter memories. In a grotesque way, the fall of the medusa was almost a parody of the dying Queen’s last moments (The Queen Elizabeth was the giant zeppelin Howard Falcon captained before the … accident).
     Yet he knew that his sympathies were on the wrong side. High intelligence could develop only among predators—not among the drifting browsers of either sea or air. The mantas were far closer to him than was this monstrous bag of gas. And anyway, who could really sympathize with a creature a hundred thousand times larger than a whale?
     Then he noticed that the medusa’s tactics seemed to be having some effect. The mantas had been disturbed by its slow roll and were flapping heavily away from its back—like gorged vultures interrupted at mealtime. But they did not move very far, continuing to hover a few yards from the still-capsizing monster.
     There was a sudden, blinding flash of light synchronized with a crash of static over the radio. One of the mantas, slowly twisting end over end, was plummeting straight downward. As it fell, a plume of black smoke trailed behind it. The resemblance to an aircraft going down in flames was quite uncanny.
     In unison, the remaining mantas dived steeply away from the medusa, gaining speed by losing altitude. They had, within minutes, vanished back into the wall of cloud from which they had emerged. And the medusa, no longer falling, began to roll back toward the horizontal. Soon it was sailing along once more on an even keel, as if nothing had happened.
     “Beautiful!” said Dr. Brenner, after a moment of stunned silence. “It’s developed electric defenses, like some of our eels and rays. But that must have been about a million volts! Can you see any organs that might produce the discharge? Anything looking like electrodes?”
     “No,” Falcon answered, after switching to the highest power of the telescope. “But here’s something odd. Do you see this pattern? Check back on the earlier images. I’m sure it wasn’t there before.”
     A broad, mottled band had appeared along the side of the medusa. It formed a startlingly regular checkerboard, each square of which was itself speckled in a complex sub-pattern of short horizontal lines. They were spaced at equal distances in a geometrically perfect array of rows and columns.
     “You’re right,” said Dr. Brenner, with something very much like awe in his voice. “That’s just appeared. And I’m afraid to tell you what I think it is.”
     “Well, I have no reputation to lose—at least as a biologist. Shall I give my guess?”
     “Go ahead.”
     “That’s a large meter-band radio array. The sort of thing they used back at the beginning of the twentieth century.”
     “I was afraid you’d say that. Now we know why it gave such a massive echo.”
     “But why has it just appeared?”
     “Probably an aftereffect of the discharge.”
     “I’ve just had another thought,” said Falcon, rather slowly. “Do you suppose it’s listening to us?”
     “On this frequency? I doubt it. Those are meter—no, decameter antennas—judging by their size. Hmm … that’s an idea!”
     Dr. Brenner fell silent, obviously contemplating some new line of thought. Presently he continued: “I bet they’re tuned to the radio outbursts! That’s something nature never got around to doing on Earth… We have animals with sonar and even electric senses, but nothing ever developed a radio sense. Why bother where there was so much light?
     “But it’s different here. Jupiter is drenched with radio energy. It’s worth while using it—maybe even tapping it. That thing could be a floating power plant!”

     Falcon had a momentary glimpse of great tentacles whipping upward and away. He had just time to note that they were studded with large bladders or sacs, presumably to give them buoyancy, and that they ended in multitudes of thin feelers like the roots of a plant. He half expected a bolt of lightning—but nothing happened.

From A MEETING WITH MEDUSA by Arthur C. Clarke (1971)
GAS GIANT BODY 2

     Even as he fell through the roaring heart of the Great Red Spot, with the lightning of its continent-wide thunderstorms detonating around him, he knew why it had persisted for centuries though it was made of gases far less substantial than those that formed the hurricanes of Earth. The thin scream of hydrogen wind faded as he sank into the calmer depths, and a sleet of waxen snowflakes - some already coalescing into barely palpable mountains of hydrocarbon foam - descended from the heights above. It was already warm enough for liquid water to exist, but there were no oceans there; that purely gaseous environment was too tenuous to support them.
     He descended through layer after layer of cloud, until he entered a region of such clarity that even human vision could have scanned an area more than a thousand kilometres across. It was only a minor eddy in the vaster gyre of the Great Red Spot; and it held a secret that men had long guessed, but never proved.
     Skirting the foothills of the drifting foam mountains were myriads of small, sharply-defined clouds, all about the same size and patterned with similar red and brown mottlings. They were small only as compared with the inhuman scale of their surroundings; the very least would have covered a fair-sized city.
     They were clearly alive, for they were moving with slow deliberation along the flanks of the aerial mountains, browsing off their slopes like colossal sheep. And they were calling to each other in the metre band, their radio voices faint but clear against the cracklings and concussions of Jupiter itself.
     Nothing less than living gasbags, they floated in the narrow zone between freezing heights and scorching depths. Narrow, yes — but a domain far larger than all the biosphere of Earth.
     They were not alone. Moving swiftly among them were other creatures so small that they could easily have been overlooked. Some of them bore an almost uncanny resemblance to terrestrial aircraft and were of about the same size. But they too were alive — perhaps predators, perhaps parasites, perhaps even herdsmen.
     A whole new chapter of evolution, as alien as that which he had glimpsed on Europa, was opening before him. There were jet-propelled torpedoes like the squids of the terrestrial oceans, hunting and devouring the huge gasbags. But the balloons were not defenceless; some of them fought backs with electric thunderbolts and with clawed tentacles like kilometre-long chainsaws.
     There were even stranger shapes, exploiting almost every possibility of geometry — bizarre, translucent kites, tetrahedra, spheres, polyhedra, tangles of twisted ribbons.
     The gigantic plankton of the Jovian atmosphere, they were designed to float like gossamer in the uprising currents, until they had lived long enough to reproduce; then they would be swept down into the depths to be carbonized and recycled in a new generation.
     He was searching a world more than a hundred times the area of Earth, and though he saw many wonders, nothing there hinted of intelligence. The radio voices of the great balloons carried only simple messages of warning or of fear. Even the hunters, who might have been expected to develop higher degrees of organization, were like the sharks in Earth’s oceans — mindless automata.
     And for all its breathtaking size and novelty, the biosphere of Jupiter was a fragile world, a place of mists and foam, of delicate silken threads and paper-thin tissues spun from the continual snowfall of petrochemicals formed by lightning in the upper atmosphere. Few of its constructs were more substantial than soap bubbles; its most terrifying predators could be torn to shreds by even the feeblest of terrestrial carnivores.
     Like Europa on a vastly grander scale, Jupiter was an evolutionary cul-de-sac. Consciousness would never emerge here; even if it did, it would be doomed to a stunted existence. A purely aerial culture might develop, but in an environment where fire was impossible, and solids scarcely existed, it could never even reach the Stone Age.

From 2010 ODYSSEY TWO by Arthur C. Clarke (1982)
GAS GIANT BODY 3

     Peering through the transparent glassteel of the observation bubble, Grant could see that Jupiter was not merely immense, it was alive.
     They were in orbit around the planet now, and its giant curving bulk loomed so huge that he could see nothing else, nothing but the bands and swirls of clouds that raced fiercely across Jupiter's face. The clouds shifted and flowed before his eyes, spun into eddies the size of Asia, moved and throbbed and pulsed like living creatures. Lightning flashed down there, sudden explosions of light that flickered back and forth across the clouds, like signaling lamps.
     There was life beneath those clouds, Grant knew. Huge balloonlike creatures called Clarke's Medusas that drifted in the hurricane-force winds surging across the planet. Birds that have never seen land, living out their entire lives aloft. Gossamer spider-kites that trapped microscopic spores. Particles of long-chain carbon molecules that form in the clouds and sift downward, toward the global ocean below.

     "The atmosphere/ocean system is like nothing we've seen before," Muzorawa said, his tone at last brightening, losing its guarded edge, taking on some enthusiasm. "For one thing, there's no clear demarkation between the gas phase and the liquid, no sharp boundary where the atmosphere ends and the ocean begins."
     "There's no real surface to the ocean," Grant said, wanting to show the older man that he wasn't totally ignorant.
     "No, not like on Earth. Jupiter's atmosphere gradually thickens, gets denser and denser, until it's not a gas anymore but a liquid. It's … well, it's something else, let me tell you."
     Before Grant could respond, Muzorawa hunched closer in his chair and went on, "It's heated from below, you see. The planet's internal heat is stronger than the solar influx on the tops of the clouds. The pressure gradient is really steep: Jupiter's gravity field is the strongest in the solar system."
     "Two point five four gees," Grant recited.
     "That's merely at the top of the cloud deck," Muzorawa said, waggling one hand in the air. "It gets stronger as you go down into the atmosphere. Do you have any idea of what the pressures are down there?"
     Grant shrugged. "Thousands of times normal atmospheric pressure."
     "Thousands of times the pressure at the bottom of the deepest ocean on Earth," Muzorawa corrected. A smile was growing on his face, the happy, contented smile of a scientist talking about his special field of study.
     "So the pressure squeezes the atmosphere and turns the gases into liquids."
     "Certainly! There's an ocean down there, an ocean ten times bigger than the whole Earth. Liquid water, at least five thousand kilometers deep, perhaps more; we haven't been able to probe that far down yet."

     Leviathan followed an upwelling current through the endless sea, smoothly grazing on the food that spiraled down from the abyss above. Far from the Kin now, away from the others of its own kind, Leviathan reveled in its freedom from the herd and their plodding cycle of feeding, dismemberment, and rejoining. To human senses the boundless ocean would be impenetrably dark, devastatingly hot, crushingly dense. Yet Leviathan moved through the surging deeps with ease, the flagella members of its assemblage stroking steadily as its mouth parts slowly opened and closed, opened and closed, in the ancient rhythm of ingestion.
     To human senses Leviathan would be staggeringly huge, dwarfing all the whales of Earth, larger than whole pods of whales, larger even than a good-size city. Yet in the vast depths of the Jovian sea Leviathan was merely one of many, slightly larger than some, considerably smaller than the eldest of its kind.
     There were dangers in that dark, hot, deep sea. Glide too high on the soaring currents, toward the source of the bountiful food, and the waters grew too thin and cold; Leviathan's members would involuntarily disassemble, shed their cohesion, never to reunite again. Get trapped in a treacherous downsurge and the heat welling up from the abyss below would kill the members before they could break away and scatter.
     Best to cruise here in the abundant world provided by the Symmetry, between the abyss above and the abyss below, where the food drifted down constantly from the cold wilderness on high and the warmth from the depths below made life tolerable.
     Predators swarmed through Leviathan's ocean: swift voracious Darters that struck at Leviathan's kind and devoured their outer members. There were even cases where the predators had penetrated to the core of their prey, rupturing the central organs and forever destroying the poor creature's unity. The Elders had warned Leviathan that the Darters attacked solitary members of the Kin when they had broken away from their group for budding in solitude. Still Leviathan swam on alone, intent on exploring new areas of the measureless sea.
     Leviathan remembered when the abyss above had erupted in giant flares of killing heat. Many of Leviathan's kind had disassembled in the sudden violence of those concussions. Even the everlasting rain of food had been disrupted, and Leviathan had known hunger for the first time in its existence. But the explosions dissipated swiftly and life eventually returned to normal again.

From JUPITER by Ben Bova (2000)
GAS GIANT TECH 1

     The data file with what little was known about the H'rulka scrolled down the screen. "Floaters!" Kane said, reading. “The presumption is that they're intelligent gas bags that evolved in the upper atmosphere of a gas giant."
     “Interesting, if true," Wilkerson said, reading. “I'd like to know how they managed to develop a technology capable of building starships without access to metals, fire, smelting, solid raw materials, or solid ground."
     “What is it they're supposed to share with the Tushies, Chom?" Kane asked.
     “It is difficult to express," Noam replied, "as are most Turusch concepts. It appears, however, to be a philosophy based on the concept of depth."
     "Yeah, yeah. They order things higher to lower, instead of the way we do it."
     “It's no different than when we say something is second class," Wilkerson said, "and mean it's not as important or as high—up as first class."
     "It's still bass—ackward," Kane said.
     "The three conscious minds of a Turusch are considered by the Turusch to range from ‘high’ to 'here' to ‘low,' " Noam pointed out, "with ‘high‘ being the most primitive, most basic state of intelligence, and ‘low’ the most advanced and complex. For the Turusch, something called the Abyss represents depth, scope, danger, and tremendous power. We think the Turusch evolved to live on high plateaus or mountaintops on their world, with lower elevations representing sources of wealth or power—maybe a food source—as well as deadly windstorms. Abyssal Whirlwinds, they call them."
     “So, if the H'rulka are Jovian-type floaters," Wilkerson mused, “they might relate to the idea of the Abyss as the depths of a gas giant atmosphere. Hot, stormy, high energy, and definitely dangerous. A point of cognitive contact or understanding between them and the Turusch."
     “Sounds far-fetched to me," Kane said. " Besides, intelligence couldn't develop in a gas giant atmosphere. Absolutely impossible."
     "I've learned in this business to mistrust the phrase ‘absolutely impossible,’ Doctor," Wilkerson said. “Why do you think that?"
     “Because the vertical circulation of atmospheric cells in a gas giant atmosphere would drag any life form in the relatively benign higher levels down into the depths in short order," Kane replied. “They would be destroyed by crushing pressures and searing high temperatures. There'd be no way to preserve culture…or develop it, for that matter. No way to preserve historical records…art…music…learning. And, as you just said, they wouldn‘t get far without being able to smelt metals or build a technology from the ground up. " He smirked.
     "No ground.”
     “But we do have lots of examples of Jovian life," Wilkerson said.
     “None of it intelligent, " Kane replied. “It can’t survive long enough.”

(ed note: Kane is quite wrong. The H’rulka gas giant aliens are quite intelligent. They even have interstellar dreadnoughts.)

     The H’rulka didn’t name their starships. A name suggested an individual personality, and the concept of the individual was one only barely grasped by H’rulka psychology. The H'rulka were, in fact, colony organisms; a very rough terrestrial analogue would have been the Portuguese Man of War…though the H’rulka were not marine creatures, and each was composed of several hundred types of communal polyps, rather than just four. Even their name for themselves —which came across in a hydrogen atmosphere as a shrill, high-pitched thunder generated by gas bags beneath the primary flotation sac—meant something like “All of Us,” and could refer either to a single colony, in the first person, or to the race as a whole.
     Individual H'rulka colonies took on temporary names, however, as dictated by their responsibilities within the community. Ordered Ascent was the commander of Warship 434, itself until recently a part of a larger vessel, Warship 432. The species didn’t have a government as humans would have understood the term, and even the captain of a starship was more of a principal decision maker than a leader.
     "It looks like home," the aggregate being called Swift Pouncer whispered over the private radio link. H'rulka possessed two entirely separate means of speech, two separate languages—one by means of vibrations in the atmosphere, the other by means of biologically generated radio bursts. Their natural radio transceivers, located just beneath the doughnut-shaped cluster of polyps forming their brains, allowed them to interface directly with their machines.
     “Similar," Ordered Ascent replied. “It appears to be inhabited."
     “We are receiving speech from one of the debris-chunks orbiting the world," Swift Pouncer replied. “It may be a vermin-nest. And…we are receiving speech from numerous sources much closer to the local star."
     Ordered Ascent tuned in to the broadband scanners and saw the other signals.
     Those members of Ordered Ascent capable of rational thought chided themselves. No matter how long they served within the far-flung fleets of the Sh‘daar, it was difficult to remember that vermin-nests frequently occurred, not within the atmospheres of true planets (gas giants), but on the inhospitable solid surfaces of debris (terrestrial planets).
     It was an unsettling thought. For just a moment, Ordered Ascent allowed themselves to pull back from the instrumentation feeds, to find steadiness and reassurance in the sight of the Collective Globe.
     The interior of the H'rulka warship was immense by human standards, but cramped to the point of stark claustrophobia for the species called All of Us. The area that served as the equivalent of the bridge on a human starship was well over two kilometers across, a vast spherical space filled by twelve free-floating H'rulka colonies in a dodecahedral array. Connected by radio to their ship, they used radio commands to direct and maneuver the huge vessel, fire the weapons, and observe their surroundings.
     They lived in the high-pressure atmosphere of gas giants, breathing hydrogen and metabolizing methane, ammonia, and drifting organic tidbits analogous to the plankton of Terran oceans. Until one of the Sh'daar's client species (who evolved on terrestrial type planets) had shown them how to use solid materials to build spacecraft that defied both gravity and hard vacuum, they'd never known the interior of anything, never known what it was like to be enclosed, to be trapped inside. The interior of Warship 434 was large enough—just—to avoid triggering a serious claustrophobic-panic reflex in All of Us aggregates. Sometimes, they needed to see other aggregates adrift in the sky simply in order to feel safe.
     Data streamed down the radio link through Directed Ascent's consciousness. The inhabitants of this system were indeed native to the system debris.
     Vermin…
     The All of Us race was unaccustomed to dealing with other sentient species. One of the primary reasons for this was, simply, their size; by almost any standards, the H'rulka were giants.
     An adult H'rulka consisted of a floatation gas bag measuring anywhere from two to three hundred meters across, with brain, locomotion and feeding organs, sensory apparatus and manipulators clustered at the bottom. Most other sentient species with which they'd had direct experience possessed roughly the same size and mass ratio to a H'rulka as an ant compared to a human.
     When the H'rulka thought of other life forms as “vermin," the thought was less insult than it was a statement of fact, at least as they perceived it. Within the complex biosphere of the H'rulka homeworld, there were parasites living on each All of Us colony that were some meters across. H'rulka simply found it difficult to imagine creatures as intelligent that were almost literally beneath their notice in terms of scale.
     “Commence acceleration, " Ordered Ascent directed. "We will move into the region of heavy radio transmission, and destroy targets of opportunity as they present themselves. "
     The H‘rulka warship, more than twenty kilometers across, began falling toward Sol, the inner system, and Earth.

From CENTER OF GRAVITY by Ian Douglas aka William H. Keith, Jr. (2011)
GAS GIANT BODY 4

     I swim through clouds of sleeting hydrocarbons. No free oxygen here. In the years before idiot robot probes had reported this, before they tumbled helpless into the heat deck below. Now I float through these low-energy chemical agents wheregthel scientists are sure no animal life can persist. Active creatures require higher-energy reactions. So, too, do the voices from the Orb point out that the wavelengths I have observed in the warbling voices here are immense—hundreds of meters long. Far too large for any animal. So they are natural phenomena, and the Orb bids me to explore, measure. perceive this interesting event.
     In the soft waxen snowfall I navigate, and the sonic ripplings come again. This time the magnetic pulse is large, not a mere fluttering on top of the noise spectrum. I follow it to the southeast, downward. muting my fusion reactor to drop swiftly. In this misty torrent infrared and opticals are blind, but the microwaves bring back granulated pictures I can perceive. Ahead small points flicker and dance. I approach. They are below me but I do not know hon far.
     Corey emits a sharp spike of microwave energy and waits for the rebounding echo. Range is only four kilometers; she increases her fall. The steep descent takes him through a froth of white hydrocarbons as though she skis down alpine slopes. The gondola sways and creaks. A jolting bump comes as she falls through a pressure differential. The points below swell into grainy blobs.
     Suddenly the clouds disappear and Corey sees that he has emerged from the face of a vast milky wall. A vortex churns here, swirling the cloud banks in long circular arcs a hundred kilometers in diameter. At the center is a clear crystalline cylinder arcing up into heaven, a floor below of misty red. The infrared opticals swivel left, right, up—and Corey sees the source of the warbling.
     Below float things like ball bearings. They seem motionless, suspended in the beautiful clear ammonia They are small and give off a hot white sheen. An echo burst shows their true dimensions; they are at a range of nine kilometers and appear at least half a kilometer in diameter.
     Immense spheres. A consequence of the vortex? The ribbed cloud banks on all sides churn slowly as Corey sinks. The spheres have not moved. Then she notices a small point: the spheres do not rotate with the majestic cloud barrier around them. They are still. Humming, Corey drops further toward them. As she approaches their design breaks and they move in strangely hyperbolic paths. They form a net. They are maneuvering to Corey’s stimulus. In this vast waxen tunnel they maneuver. They are alive. Like Corey.

     It begins to rain curling loops of hydrocarbons. Dollops of paste fall past Corey. They billow whitely around me in long filaments, as though spun from spools.
     The gondola yaws as I take it down. We flip through the gnawing winds and fall below the misty hydrocarbon snow. The cyclone vent tunnels deep below me and the restless globes seem almost to float above the distant floor. Thirteen kilometers away the clouds revolve tirelessly. The ammonia cirrus is patchy, translucent, and veins of darker blue form faint tributaries beneath the skin.
     I send the signal Mara asked me to. The spheres below reply; magnetic fields weave and shift. I study them in the optical, the microwave.
     “You were right, Mara. There are long arcs across their surfaces. Regular. Rectangular. Inside each band is a pattern of pentagons. ”
     “That's how they broadcast. They form electrical current distributions over their surfaces. Otherwise a perfect sphere could not radiate anything.”
     “Their surfaces are antennas?"
     “They're linked into the magnetic field, Jupiter's natural field, in that region. So when they ripple currents on their surfaces, the field lines carry the signal away."
     "Thus they speak to each other. And to me.”
     “That’s not all. Jupiter is rich in radio energy. They’re linked into that. They probably feed off it, as well as chewing up those waxy hydrocarbons you see. They eat radio waves, the same way plants consume light. ”
     “They are coming nearer.”
     "Together?"
     “Yes. There are six of them now. Average diameter one point three six kilometers. No, one point four one—they are expanding.”
     “Probably have sacs inside. They fill up with gas, just like you, then heat it and rise. ”

     “—I’ve calculated the total oscillater strength from a large number of spheres. It’s really impressive.” Mara paused and Bradley bit his lip in concentration. Vance, sittings beside him, seemed lost in his own private calculations.
     “So you don’t think those spherical creatures communicate locally by rippling the magnetic field?” Bradley said.
     “Well, it’s a possibility. The important point is that the signals from Alpha Libra could be made that way. We know Jupiter gives off huge radio bursts every once in a while. We’ve been listening to those radio thunderclaps for over a century now. The point is, that’s just noise. But suppose some life form could tap that source of energy. The same way a small transistor modulates the output of a large power supply, say. They could impress a signal on it, maybe even direct it toward a particular spot in the sky.”
     “I suppose it’s possible…” Vance began.
     “It wouldn’t take many of those spherical creatures to do it, if they were intelligent. I calculated the total oscillator strength for a bunch of spheres, evenly spaced around the planet. They could harness an immense amount of radio energy and modulate it at will.” Mara spoke quickly, precisely.
     “So there need not be any technology on a Jovian-type planet after all,” Bradley said. “It could simply be use of a natural mechanism.”
     “That’s the idea. Those beings down there, or whatever lives on a gas-giant planet in the Alpha Libra system, don’t know beans about electronics. But they sense electromagnetic forces as a part of the ebb and flow of life. They know only fluxes of things. No chemistry, no physics—but they're so big they don't need to know.”

From IF THE STARS ARE GODS by Gregory Benford & Gordon Eklund (1977)
GAS GIANT IN SOCIETY 1

      “Welcome to McDonald’s,” said a giant brain floating in a jar, with tentacles where a spinal cord should be. “My name is Fenax. May I take your order?”

     “And here is the final member of our little bunch.” Hashin held out a hand to a familiar-looking jar plugged into the very center of the cave. “First, this is out pilot, Fen—”
     “Fenax,” she finished for him. “We’ve met.” (due to a data entry error, her offical name in the galactic community is "Firstname Lastname", and attempts to fix the error have been lost in bureaucracy)
     “No, we haven’t,” the floating brain said without turning around. Seriously, where were its eyes? How did it see anything?
     “Yes, we did. Six months ago. You were working at McDonald’s. You collect alien currencies.”
     “That was a different Fenax.”
     “Oh, come on. How many of your people named Fenax can there be on this station?”
     Hashin tapped First on the shoulder. “They’re all named Fenax. It’s their race name.”
     “Oh.” It took a moment for the depth of her mistake to sink into First’s awareness.

     “I wouldn’t worry too much about it,” Jrill said from what looked like the captain’s chair. “They can’t tell us quad-limbs apart for glot, either. Probably thinks you’re an Illcarion.”
     “It’s not?” Fenax asked.
     Jrill held out a clawed hand. “See?”
     “Do Illcarions look particularly human?” First asked.
     “No, not really. The Fenax come from between thermal cloud layers of a gas giant. Way down below where light reaches, other than lightning strikes. They see with sound, air pressure disturbances. They can see and manipulate magnetic fields, too. Why we had to stop using magnetic strip cards.
     “What did you expect us to do?” Fenax asked. “You may as well have written your pass codes and bank account information on your foreheads. We thought you were being exceptionally generous. We never had a concept of money or private ownership before. It was an honest mistake.”

     “Anyway,” Jrill continued. “When it comes to piloting a starship in open space, it’s hard to beat a species that evolved from single cells to sentience floating in three dimensions.”
     First raised a hand. “But if they evolved in clouds…”
     “Yeah.”
     “And there wasn’t any ground below them…”
     “Yeeah.”
     “Then how did they mine metal or ceramics to build starships?”
     “Ah,” Jrill said, understanding. “They didn’t. Some unlicensed helium-3 miners accidently sucked one up through a gas siphon and kept it as the ship’s mascot for a couple of months until it mapped out the ship’s control systems and took over the central computer. Killed everyone aboard, then went back and filled the helium bladders with more Fenax. Kinda got outta hand for a few centuries after that. Had to give them a seat on the council just to get them to stop stealing every starship they came across. That’s why it’s easier to let them be the pilot from the get-go.”
     “That is a largely accurate, if incomplete, recitation of historical events,” Fenax said without emotion.

     “Anyway,” Loritt said, “Jut doesn’t make it out this far very often. His closest approach to Junktion in the coming weeks is half a dozen systems away, if his flight plans are to be trusted. Which they shouldn’t be. Still, we’re going to have to go to him, so pack your kits and a change of clothes.”
     “My people do not wear clothes,” Fenax said.
     “We know,” First said. “We can all clearly see your dangly bits. What are those, anyway?”
     “My feeding appendages,” Fenax said.
     “Oh, that’s not so bad.”
     “And gonads.”
     “Right.”
     “While I’m sure we’re all riveted by this remedial anatomy lesson,” Sheer said, “there’s the small matter of how we’re going to get into that ship uninvited. Even if it’s disarmed, it’s still heavily armored with multiple redundant defensive systems and military-grade security protocols.”

From STARSHIP REPO by Patrick Tomlinson (2019)
GAS GIANT IN SOCIETY 2

The Jgd-ll-Jagd are a gas-giant dwelling intelligent species originating on a world on the coreward edge of the imperium. Although technically a minor race, they possessed very advanced technology even before they were first contacted by Vilani explorers in about -4200; in the period since, for obscure reasons, they have never employed jump drives, although their slower-than-light ships have ventured several parsecs from Jagd, and Jgdi colonies are spread across three subsectors. Jgd have very occasionally travelled further afield than this in heavy life support units carried by bulk transporters, and Jgd travellers have even collaborated with humaniti (Traveller term for the human species) in exploration and exploitation problems. The Jgd are the most advanced gas-giant dwellers in the Imperium.

BIOLOGY

The Jgd have roughly spherical bodies, about 3m in diameter. dotted with clusters of sensory cells, and with three long manipulative tendrils distributed regularly round the "equator". The densest mass of sensory organs, plus a large number of manipulative "feelers" and feeding structures, are sited on the lowest point of the body. The species' internal structures are based on a number of thin-walled compartments, one of which (near the body center) houses the brain (or at least the largest neural nexus), but most of which are empty but for gases secreted by the body chemistry. Control of secretion rates and partially-directed release of the gases (mostly hydrogen) give the Jgd considerable control over their atmospheric buoyancy and direction of flight, but these "living balloons" are still rather susceptible to atmospheric currents; it is generally believed that accidental population redistributions were common in primitive Jgdi society, leading to loosely-bonded communal organization and exceptional homogeneity in Jgdi culture.

In so far as such terms have meaning in this context, the Jgd seem to spring from omnivore/intermittent stock. There is only one sex; genetic interchange is achieved by air-borne spores, and reproduction is achieved by a sophisticated form of binary fission. Senses are based on extreme awareness of atmospheric vibration, plus very limited response to a very wide range of electromagnetic waves. Jgd can communicate limited information over long (20km +) distances, using pitch-modulated ultrasonic "whistling", but the primary form of "speech" involves electrical impulses transmitted by direct physical contact. It is thought that this allows the transfer of very large quantities of information at the semi-subconscious as well as the conscious level, further enhancing the homogeneity of Jgd culture.

The Jgd live extremely long lives; apparently. no condition of "old age" exists, although eventually a fissioning Jgd undergoes division of the parent brain, rather than generating a new "child" cerebrum. Average life of an identifiable Jgd individual, barring accident, is approximately 630 plus standard Imperial years.

SOCIETY

The Jgd developed a mechanistic civilization when they learned to manipulate crystalline matter from the Jagd "icebergs"; thus crystallography is as central to their technological history as metallurgy is to mankind's. They developed activities akin to farming rather late, but their social systems are immensely refined, and spring from the need to organize for food-gathering and hunting. The basic social unit is termed the "hunt" by human sociologists, and consists of a cooperative body formed for a specific purpose — not always anything as short-lived as a hunt for food. Many "hunts" are millennia old, but even disregarding natural mortality. the membership is extremely flexible, with individuals leaving and joining quite frequently in most cases. Hunts to some extent resemble human businesses, trusts, or colleges, or Hiver nests, but each hunt actually holds a rather deeper role in Jgdi culture than this implies, in a way that only the Jgd themselves really comprehend. The crew of a short-range spaceship will usually comprise one hunt, while an interstellar craft will have three or four 'active' hunts aboard, plus the social nucleus of several more that become active when the ship establishes a colony or base on a new world. The system is remarkably flexible but robust.

The other key element in Jgdi psychology is an obsession with balanced exchanges, apparently running at least as deep as human curiosity, Aslan land-hunger, or Newt orderliness. A Jgd is literally incapable of "unilateral behavior". For example, the Jgd never initiate exploration for its own sake, but only send ships where there is a very high probability of finding exploitable resources, or of establishing a colony that might eventually send vessels back to Jagd. This obsession, apparently linked to the inherently bilateral nature of Jgdi conversation, has resulted in almost all contact between Jgd and other races taking the form of trade . It also causes the Jgd to operate a peculiar (and slightly brutal-seeming) legal system; theft is always punished by fines, violence by violence, and so on (in short, "an eye for an eye"). It is even hypothesized that the Jgd commenced interstellar travel when and only when they were first contacted by humaniti because only then was a degree of symmetry implied by the activity.

The homogeneity of Jgdi culture is a major factor in Jgd society, but it must not be overstated. Jgd are discrete and independent individuals, with distinct personalities and powerful personal drives; they have an idea of private property; they have personal violence, if not wars. Nonetheless, it is important to note that education — in the sense of a transmittal of data — is extremely easy for them; hence almost any Jgd can employ almost any Jgdi device or technique with at least minimal competence. This does not imply that the race lacks individuals specializing in particular fields of competence, merely that total incompetence in any field is rare.

JGD IN INTERSTElLAR SOCIETY

Jgdi thought is alien to all other races' intelligence; hence communication is a persistent problem. The obvlous difficulty of simply conversing is generally solved by use of powerful human or Jgdi computer translators, but even these tend to struggle with many concepts; nor is pronunciation of synthesized phonemes always easy (the race name is a human corruption of something produced by an early Jgdi machine). In general, relations with humaniti and other races are restricted to trade and informational exchanges.

The Imperium classifies the Jgd as a friendly associate species with autonomous government; actually, no formal pacts exist, although relations are in a state of stable equilibrium. Jgd-inhabited systems will always be "patrolled" by a number of large and powerful vessels; these rarely take much interest in human affairs unless Jgdi interests are threatened. The chief point to note in such systems is that fuel-skimming a Jgd world is extremely unwise; shock waves from the pass will cause severe damage to the beings and their environment, and their response is certain to involve high-energy weapons fire. For this reason, Jgd systems are well-marked with navigational beacons. (Traveller tramp merchant ships routinely skim gas giants for free fuel)

Other races get on with the Jgd even less well than does humaniti (although there are Jgd colonies in the Centaur empire); mankind at least has long experience with the race. and the Jgdi exchange-obsession corresponds effectively to the human tradition of mercantile economics. There are no records of the Jgd hiring alien mercenaries for any but short-term jobs, or of small Jgd groups or individuals settling for long with other races save out of necessity.

The Jgd failure to construct jump drives is a mystery (the task could easily be performed by Jgd technology). One theory is that the race actually refuses to do so because it is impossible to enter into an exchange relationship with hyperspace, making the subject anathema to them. More plausible theories hold that jump travel is dangerous to them. Certainly, the Jgd travel units occasionally loaded onto human jump ships carry extremely heavy insulation.

From CONTACT: THE JGD-LL-JAGD by Phil Masters. Journal of the Traveller's Aid Society #17 (1981)
GAS GIANT BODY 5

(ed note: our heroes are working-class stiffs who risk their lives mining Jupiter's atmosphere. And who are being kept poor and oppressed by the megacorporations who run the solar systems. There are intelligent creatures called "flapjacks" living Jupiter's atmosphere, but no humans has tried making contact. The workers are too busy trying to make quota, and the megacorporation figure there is no money in it. )

      Jarls was glad to be able to interrupt. “Look!”
     They followed his pointing gauntlet. Some kilometers away, a flock of flapping dots flew in loose echelon, making a broad arc against the rust-colored clouds. There were twenty or thirty of them.
     “A hunting party,” Hector said. “Heading toward the Great Red Spot.”
     “A little out of their depth, aren’t they?” Murdo said.
     “Must’ve got caught in an updraft. But the air’s soupy enough for them here. Feels like about six atmospheres.”
     Jarls had noticed the increasing thickness of the atmosphere himself as they sank. It slowed down your movements, but it also took away some of the terrible drag of gravity, like lying in a bathtub.
     Hector’s craggy face had come alive. “Good hunting for the flapjacks when the Great Red Spot comes around,” he explained to Jarls. “Means an upwelling of organic molecules for fifty thousand kilometers around, and an explosion of the small life forms. And that attracts those big floating colanders that the flapjacks prey on.”
     Jarls strained to see the distant specks. Jovian life was plentiful, and the small thistledown forms that inhabited the upper atmosphere liked to congregate around Port Elysium. But he had seen these big hunters of the middle depths only on holo.
     As he watched, the formation veered. Jarls’s heart thumped in his chest.
     “They’re changing course!” Hector nodded.
     “Looks like they’re coming over for a visit.”

     The great flapping shapes grew in size, matching the drop rate of the floater (the flying mining rig the humans are repairing). Jarls could make out their contours plainly now—they were immense flat pancakes, easily acres in extent, undulating gently to stay aloft. Their scalloped outer edges served as limbs of a sort, curled around thousand-foot cartilaginous spears and coils of what looked to be rope. They wore harnesses, too, crisscrossed bands from which dangled carrying pouches the size of barns.
     Jarls didn’t fully appreciate the tremendous scale of the creatures until they came to rest about a quarter mile from the floater. Not one of them would have fit in the biggest enclosed space he could think of—Port Elysium’s stadium. It dawned on him that the spears they carried must have come from the skeletons of creatures that were larger still. They arranged themselves in a shallow curve, obviously looking over the human vehicle with whatever Jovian natives used for senses.
     Jarls could feel their attention, though their flat gray expanses were featureless. They maintained position against the gale-force wind with apparent effortlessness, billowing in slow rhythm. Jarls could see them making small adjustments by curling and uncurling the projections on their outer mantles. They tilted slightly toward the floater, blotting out sky and dwarfing the human artifact into insignificance.

     “What do they want?” he asked his uncle. “Do they want to trade?”
     Hector shook his head. “They’re just curious. Came over for a closer look at us midges.”
     “Too bad,” Murdo said. “We could make more money out of the exotic organics in just one of those skin bags than we’re getting paid for this little repair excursion.”
     “That’s not the way they like to do things,” Hector said.
     “I guess you ought to know, Hec,” the foreman replied.
     Hector had been a trader himself in his youth, among all the other jobs that Jovians had to do to scratch out a living; Jarls’s father had been a partner in that and a host of other enterprises before the deep-fishing accident that had crippled him.

     “You know how what old-timers call the Shadow Trade works, don’t you?” Hector said to Jarls.
     “Sort of.” Jarls had heard the stories often enough while growing up.
     But Hector was not to be deterred. “We send down a balloon loaded with trade goods, and leave it. They load it with things they think we might want—usually skins, or some of their cartilage artifacts. Then they leave. If we accept the deal, we take the stuff, and then they come back to collect. If we don’t, they add more. If they don’t like the deal, we add more. When both parties are satisfied, we make the exchange. Usually we never see the parties we trade with. They’re cautious but honest.”
     “You’re attributing too much intelligence to them, Hec.” Murdo said. “A dog can be taught to fetch. We taught them a complicated reflex over the years, that’s all.”
     Hector declined to rise to the bait, though Jarls knew he was a passionate believer in the reasoning capacity of the Jovian natives. Arguments could get pretty heated between opposing camps on the issue, but Hector limited himself to observing mildly: “There are different kinds of intelligence, Gord. It took us a couple of hundred years to learn that about dolphins.”

     A sudden gust tipped one of the flying pancakes, almost making it drop its spear. It righted itself with a casual ripple of its vast body and resumed its scrutiny of the floater.
     “What if one of them bumps us?” Jarls asked nervously.
     “No danger,” his uncle said. “They’re careful with their bodies. They’re fragile despite their size. Lightweight, like all Jupiter’s aerial life.”
     “I mean by accident.”
     “So do I. It’s us humans who’re clumsy. They’re made for this environment. They’ve got keen senses, like any hunters. Right now they’re bouncing sonar, radar, and God knows what else off us. And taking infrared snapshots with their whole bodies. They’re probably tasting us by our stray molecules, too!
     Murdo gave a short bark. “You can’t blame the youngster for being a little nervous. Those spears give me the jitters myself. What if they decided the floater was good to eat? Imagine one of those shafts through our vacuum bag.”
     “Now Gord, you know as well as I do that they don’t do that. There’s never been a recorded case of a flapjack intentionally harming a human being.”

     He turned back to Jarls. “Those spears they carry come from the keels of those floating sieves that strain out the atmospheric plankton. I once saw a flapjack throw one. Whirled around and around like a pinwheel, picking up spin, then let loose. Usually they position themselves in a circle above their prey and drop their harpoons straight down. In this gravity, they fall like thunderbolts. But this fellow’s shaft must’ve been flying fast enough to straighten itself out. Ripped right through the big gasbag it was hunting. The other hunters got harpoon lines into it before it started to sink too fast, and they flew away with that mile-wide carcass hanging between them. Can’t be many men alive who’ve seen such a sight.”
     It made a vivid picture. Jarls couldn’t help glancing over at the line of disklike creatures hanging in loose formation around the floater. Most of them carried their spears sensibly at the vertical, well above the balancing point, but a few carelessly held shafts drooped like basket handles under Jovian gravity. Jarls tried to imagine the kind of kinetic energy it would take to straighten one out enough to be flung at the horizontal, and was impressed anew.

     Hector was staring thoughtfully at the visitors too. “If only we could get them to work for us in some sort of reliable fashion,” he mused. “We might be able to get somewhere with the Deep Tap project—and there’d be a future for this planet. (the Deep Tap is a project the working-class is trying in a desperate attempt to get out from under the thumbs of the megacorporations. Of course the corps have been economically sabotaging it at every turn.)
     “Huh?” It came as a snort from Murdo.
     “These fellows are fishers as well as hunters. They bring up catches that must come from all the way down to the hydrogen sea. The life chemistry’s different from the aerial forms whose skins and lipids they usually trade.”
     “So what? All Jovian organics are weird. That’s why they fetch a good price outside.”
     “My point is that we don’t know how far down the flapjacks can operate, but it has to be a lot deeper than we can go. If we could get their help in setting up rigs just another thousand kilometers down—below the transition point between gaseous and liquid hydrogen, out of reach of atmospheric storms—we’d have stable platforms that might be able to take the Deep Tap down all the way.”
     “You’re dreaming, Hec.”
     “They cooperate with one another. Why not with us?”
     The hovering giants seemed to have lost interest in the floater and the tiny specks that moved around on it. With one accord, they tilted themselves on edge and dived down through the cloud bank below. The floater rocked with their passage, and Jarls found himself scrabbling for a better handhold until the swaying ceased.

     “The flapjacks,” he said to Maryann. “They’ve come back.”
     “Huh?” She gave a disinterested glance, then went back to an inspection of her last weld.
     “I wonder why they’re hanging around.”
     “Maybe they’re hoping we’ll drop another girder.”
     It was Jarls’s turn to say, “Huh?”
     “Yeah, they like metal. They’ll scavenge it whenever they get the chance. It’s funny, they won’t steal it from our rigs, even though we couldn’t stop them, but just drop a hammer overboard and they’ll dive for it. I don’t know how something that big sees something that small.”
     “I wonder why they’re so interested in metal—I mean metal especially.”
     “They never saw any before humans arrived on Jupiter. I guess it must seem some kind of miracle to them—something that dense and hard. They make ornaments out of it, polished mirror-bright. And knives. The lucky ones that get it, they use it to edge those big triangular bone knives of theirs.”
     “How can they work it without a forge?”
     “You can work metal without a forge—just beat it long enough, cold, the old-fashioned way.”

     Darkness came swiftly with Jupiter’s rapid rotation, and the outside spotlights were switched on. There were two night shifts in every Jovian working day, but on a job like this, not even the crassest of legal quibblers was keeping track of his time sheet. Jarls worked straight through like the rest, moving through a daze of fatigue and aching muscles.
     Pure bad luck and the vagaries of orbital mechanics stepped in at that point. The consortium’s (of megacorporations) atmospheric mining satellite came around about every five hours in its skewed orbit, which meant that it returned to approximately the same vicinity twice a day, with a variation of only a few thousand miles. It was an arrogant gamble by the consortium—it was easier for them to keep track of their property that way, and minimized the chances of a collision with any inhabited aerostats when they strayed beyond their allotted five percent deviation from equatorial orbit. Jupiter was a big place. They thought the odds were with them, despite the North Equatorial tragedy of ’32.
     The siphon nozzle would have whizzed by once already while the floater crew worked, but it must have passed too far away to have been noticed. Now it was due again, and again the odds should have kept it from striking twice in the same place.
     Jarls was out on a spar, waiting to receive a crossbeam that was being poked at him from below. The wind had died down somewhat, and he stood with feet braced far apart in order to leave both hands free.
     He glanced around to see an unnaturally straight incandescent line drawn against the sky. It was brighter than lightning, and getting rapidly brighter.
     Jarls had a fraction of a second to realize what it was. He grabbed for support, but it was too late. The thing flashed by at a distance of less than fifty meters and was gone, leaving nothing but a thunderclap and a glowing afterimage on his retinas. The wind of its passage blew him off his perch.
     He tumbled into emptiness, picking up speed at the rate of fifty miles per hour every second. Above him, the rig’s outline shrank with alarming suddenness and disappeared.
     He could still feel the scorching heat of the siphon’s transit on his face as he fell. Atmospheric friction at this depth would be terrific.
     And then he was aware only that he was falling like a stone into Jupiter’s crushing depths.
     The rushing air plucked at the fabric of his suit. He was still accelerating. Soon he would burn up, a living meteor. Stoically, he counted out the few remaining seconds of his life.

     And abruptly, there was a blanket under him, a gray blanket that stretched for acres.

     It matched velocities with his and broke his fall gently. He sank into rubbery flesh. Not more than twenty seconds had passed since he’d fallen off the rig. But in that time he would have fallen some five kilometers, and would have been traveling at close to supersonic speed.
     The flapjack lofted him upward, its outer edges working with powerful strokes. He raised his head cautiously. He was sprawled in the center of a vast, rippling, glossy landscape. It felt tough and resilient underneath him. Its temperature was noticeably feverish—it must be heating hydrogen in its internal spaces. Across the gray vista, near one edge, he could see a girder, small with distance. The crossbeam he’d been working with must have tumbled overboard with him. The flapjack was keeping one of its scalloped projections curled protectively around it; it was toothpick-size in the creature’s colossal grasp.
     As the living carpet rose through the mist, Jarls had time to examine the harness the being wore. The straps were as wide as roadways, and were made of something that could have passed for leather. There was a crossroads near him; he crawled gingerly over for a closer look. The juncture was decorated with some kind of badge or buckle of beaten metal. It was hammered wafer-thin, with a diameter of about thirty feet. Jarls remembered what Maryann had said, and decided that the individual he was riding must be an important one to have so much metal at his disposal.
     The flapjack didn’t like his touching the badge. The ground under Jarls twitched and deposited him a short distance away. Jarls wanted to be sure. He got to his hands and knees and started to crawl toward the ornament. Again there was a Brob-dingnagian shrug, and Jarls found himself at a distance.
     This time he crawled ten meters in the opposite direction and sat down again. There were no more twitches. It was a primitive form of communication. Jarls had shown that he understood. The flapjack had exerted itself twice to make a point. Three exchanges constituted a kind of dialogue. It occurred to Jarls that except for the Shadow Trade, this might be the first time in Jovian history that human and flapjack had ever engaged in that direct a give-and-take.

     It gave him another idea. He undipped his tool kit from his belt. There was a hammer in it, pliers, a couple of screwdrivers, a small pry bar. He pushed it away to arm’s length, then again retreated a few meters.
     It seemed a pathetically small amount of metal to offer to a flying island, but Maryann had said that the Jovian behemoths coveted even a dropped hammer.
     The edge of the flapjack folded itself over—it still seemed perfectly able to fly in this lopsided fashion—and one of the scalloped serrations came questing inland toward the toolbox. Jarls backed off another couple of meters.
     The fleshy protrusion hesitated, then curled around the toolbox. It swallowed it up, like a human hand engulfing a grain of rice, and tucked it away somewhere in its harness. The flapjack flattened itself out again and went back to flying in its normal mode.
     Jarls let out his breath. He’d gone to a second stage in the conversation. It was a simple abstraction this time. The flapjack had saved his life; he’d given his permission for it to take his toolbox. It was payment for a service—not quite the same thing as exchanging goods.

     For a brief, wild moment he felt a rush of elation at the thought of telling Hector. Hector’s vision of getting flapjacks to work for humans on the Deep Tap project might not be a pipedream after all. Then he remembered that he would not be telling Hector about this, or about anything else, ever (because Hector had been killed by an industrial accident a couple of hours go, right in front of Jarls).
     He rode upward in a black mood. The adrenaline that had sustained him had begun to wear off, and he was bone tired. Thinking had become an effort.

     A square shape loomed overhead through the clouds. The platform of the pumping rig. It was big, though it couldn’t compare with a flapjack. The creature came up level with it in a delicate maneuver. Jarls could see running figures, pale dots of faces turned in his direction. It must have made an awesome sight, this tremendous circular leviathan breaching the hydrogen depths and coming to a hovering halt just a few meters away. The flapjack tilted carefully and spilled Jarls out on the platform. Hands reached out for Jarls, grabbed him.
     The flapjack, with a rippling movement around its entire circumference, pushed itself off and disappeared.

From JOVIAN by Donald Moffitt (2003)
GAS GIANT ECOSYSTEM 1

By the time I arrived in Los Angeles on February 13, 1979 to join the team of Cosmos Artists and work on the production of the visual effects, I had completed many dozens of preliminary concept drawings of the basic design of the HFS cloudscape environment, along with about a hundred conceptual designs for a variety of species of the three principle types which constituted the hypothetical biosphere and its ecological system: Hunters, Floaters and Sinkers — creatures with diverse shapes and anatomies, aerodynamic and buoyancy properties, propulsion mechanisms, feeding modes, social and navigation or migratory behaviors, communication, reproductive and defense and even stealth strategies, and more, that would not only fit them for life within a global atmospheric habitat, depending on conditions at various altitudes and within clouds of various composition.

As well as the other dynamic aspects of weather, but also provide the basis for local or close-range interaction with other individuals of the same or different species, either in encountering those of their own kind (for reproductive purposes, or to maintain mutual proximity in gregarious social collections, for example), in encountering potential prey (Floaters grazed on diminutive but abundant Sinkers, while Hunters ambushed Sinkers for their stores of purified hydrogen as well as for nutrition), or encountered potential predators (both Floaters and Hunters could evolve elaborate defense strategies against attack by other Hunters).

Carl's early speculations on Jovian atmosphere life in the 1960s had evolved and he eventually worked out the basic hunters, floaters and sinkers ecosystem which he described in a paper with Ed Salpeter: "Particles, Environments, and Possible Ecologies in the Jovian Atmosphere", which appeared in The Astrophysical Journal, Supplement Series in late 1975.

Meanwhile I had been exploring the wide range of potential planetary habitats and designing a great many life-forms in the fleshed-out detail necessary for illustration, that could conceivably evolve and flourish within habitable environments, including Jovian-type atmospheres.

From Starcom: The U.S. Space Force, episode #1 "Nantucket Sleighride"

Atomic Rockets notices

This week's featured addition is SPIN POLARIZATION FOR FUSION PROPULSION

This week's featured addition is INsTAR

This week's featured addition is NTR ALTERNATIVES TO LIQUID HYDROGEN

Atomic Rockets

Support Atomic Rockets

Support Atomic Rockets on Patreon